
Model-based dose escalation designs with crmPack (JSS paper)
crmPack for model-based dose escalation designs, using slightly adapted syntax of package version 2.
Abstract
Model-based dose escalation designs have gained increasing interest due to the need for more efficient and informative Phase I trials. The wide-spread implementation of such designs has been hindered by the need for either licensing specialized commercial software or programming the design and simulations from scratch for each project. The R-package crmPack provides a simple and unified object-oriented framework for model-based dose escalation designs. This enables the standard use of such designs, while being able to flexibly adapt and extend them. The framework comprises classes and methods for the data structure including the dose grid, statistical models including prior specification, rules for maximum increments, next best dose, and adaptive stopping and cohort sizes. In addition to multiple modified classic continual reassessment method and escalation with overdose control designs with possibly advanced prior specifications (e.g., minimal informative and mixture priors), crmPack currently features dual-endpoint (safety and biomarker) designs and two-part designs. Optional assignment of a small number of patients in each cohort to placebo instead of treatment enables the use in trials outside Oncology.
Keywords: continual reassessment method, model based dose escalation, dual-endpoint design, R, object oriented.
Introduction
Phase I trials that are testing new investigational agents in humans for the first time escalate from low to high doses in a sequential fashion. This dose escalation design is necessary in order to reduce the risk of too high and therefore too toxic doses for the probands. These can either be healthy volunteers (e.g., in neurology) or patients (e.g., in oncology), and we will henceforth use only the latter for ease of presentation. While higher doses of agents are usually expected to deliver stronger pharmacodynamic effects and hence improved efficacy, higher doses also usually cause more severe adverse events in the patients. In order to simplify the decision making usually binary dose-limiting toxicities (DLTs) are defined (e.g., adverse events reaching specific severity levels) before starting the trial. The maximum tolerated dose (MTD) is then defined as the dose with a certain probability of DLTs (either using a single value, e.g., 33%, or a range, e.g., 20 to 35%). Historically, patients were treated at the same dose in cohorts of three, with the dose for the next cohort then being determined from the number of DLTs having been observed in the current cohort.
Algorithmic designs like the simple 3+3 design (Carter 1973) have disadvantages that have been recognized in the statistics community, see e.g., (Paoletti, Ezzalfani, and Le Tourneau 2015). Fundamentally, the escalation rules of the 3+3 design do not have any statistical justification (Storer 1989) in terms of estimating an MTD. Moreover, they cannot be extended to address today’s Phase I trials, with extension cohorts, dose escalation of drug combinations and optimal biological dose determination, naming just a few prominent challenges. Hence model-based dose escalation designs like the continual reassessment method (CRM) (O’Quigley, Pepe, and Fisher 1990) have gained increasing interest due to the need for more efficient and informative Phase I trials. These designs are based in statistical inference, with dose-toxicity regression models as the backbone, and are therefore flexible for adaptation to various complex trial designs. Importantly, they avoid fixing only a few dose levels in advance. For a wider comparison of algorithmic and model based designs see e.g., (Jaki, Clive, and Weir 2013).
However, the wide-spread implementation of such designs has been hindered by the need for either licensing specialized commercial software (thus losing flexibility) or programming the design and simulations from scratch for each project (thus losing efficiency). While the models underlying most model-based dose escalation procedures can easily be fit in standard software with the capability to fit generalized linear models, e.g., PROC MIXED in SAS ( Institute Inc. 2003), glm in Stata (StataCorp 2015) or R ( Core Team 2016), there are still only few software solutions available dedicated to dose escalation studies.
The commercial packages East (Cytel Inc. 2016) and ADDPLAN (Consultants 2025) both offer extensions to their basic design software for dose escalation studies (ESCALATE in East and df in ADDPLAN) implementing the algorithmic 3+3 design and various versions of the CRM. Similarly FACTS (Team 2015) also offers different common dose escalation methods. Due to the commercial nature of these implementations there is, however, a limitation on how much the designs can be tailored towards the individual needs of the study. Similarly static implementations of methods for dose escalation are available in the Stata module crm (Mander 2013) which implements the CRM and the dfcrm package (K. Cheung 2013) in R which additionally implements the time-to-event CRM (TITE-CRM) (Y. K. Cheung and Chappell 2000). Several R-packages with extensions are available. The bcrm package (M. Sweeting, Mander, and Sabin 2013) implements a variety of one and two parameter models, and facilitates different ways to specify prior distributions, escalation and stopping rules. The ordcrm package (Dressler and Huang 2016) implements ordinal proportional odds and continuation ratio models for CRMs. The dfpk package (Toumazi, Ursino, and Zohar 2017) uses pharmacokinetic data in the dose escalation.
In this paper we introduce the R-package crmPack (Sabanés Bové et al. 2018) for dose escalation studies, which is publicly available on CRAN. While the package’s name pays tribute to the original CRM as the first model-based dose escalation design, the package’s functionality differs from the above existing implementations in three fundamental ways. Firstly, it is written using S4 classes and methods (Chambers 2008), which allows customized methodology to be added to the package while still being able to use the existing backbone functionalities. Secondly, methods for studies with a placebo group (e.g., for healthy volunteer studies) are readily implemented. Thirdly, dual endpoint dose escalation methods that incorporate both safety and efficacy and allow determination of an optimal biological dose are already available.
Framework
For describing the framework of the package we will adapt the general notation for early phase trials from (Thall 2010). Figure @ref(fig:schematic) summarizes the framework in a schematic.
Separate design features are implemented as classes (shown as gray boxes) and bundled together in the overarching Design object. They can be processed with various methods (blue text) to run the dose escalation trial and produce results (blue boxes). For example, the Data and GeneralModel objects can be processed by the mcmc method in order to obtain posterior samples of the model parameters, and given the sample size and the dose for the next cohort, the updated Data closes the dose escalation loop. On the higher level, designs can be investigated with the examine and simulate methods to obtain hypothetical trial courses and operating characteristics, respectively. Note that individual model classes and methods are not shown here for clarity, please refer to the package documentation for details, e.g., by calling crmPackHelp().’
Data Let \(x\) denote one specific treatment, chosen from the set of possible treatments \({\cal X}\). This could be one specific dose, but also more generally a vector, containing for example doses of multiple drugs in a combination trial. After giving treatment \(x\) to a patient, the outcome \(y\) is observed, typically a safety endpoint as e.g., the binary DLT \(y \in \{0, 1\}\). Grouping together \(n_{j}\) patients in cohort \(j\), generating the cohort \(j\) data \({\cal C}_{j} = \{(x_{j}, y_{j,1}), \dotsc, (x_{j}, y_{j,n_{j}})\}\), we can denote the data generated from the first \(N\) cohorts as \({\cal D}_{N}= {\cal C}_{1} \cup \dotsb \cup {\cal C}_{N}\).
In crmPack the S4 class GeneralData encapsulates this notion and subclasses implement concrete data structures.
Model The core of model-based dose escalation designs is the underlying statistical model. Taking a Bayesian approach to inference, the model in crmPack consists of firstly the likelihood, which is either a probability density function \[ f(y | x,
\theta)\] or a probability mass function \[ Prob(Y=y | x, \theta)\] of \(y\) for a patient who receives treatment \(x\) assuming the parameter (vector) \(\theta\), (this is the likelihood of \(\theta\)) and secondly the prior \[ p(\theta | \xi)\] for \(\theta\) given fixed hyperparameters \(\xi\).
In crmPack the virtual S4 class GeneralModel encapsulates this notion and subclasses implement concrete models.
For example, the class LogisticLogNormal implements the logistic regression model (Neuenschwander, Branson, and Gsponer 2008) with \[\begin{equation}
\label{eq:LogisticLogNormal}
\mathrm{logit}(Prob(Y=1 | x,\theta))
\equiv \mathrm{logit}(\pi(x,\theta))
= \alpha_{0} + \alpha_{1} \log\left(\frac{x}{x^*}\right),
\end{equation}\] parameter vector \(\theta = (\alpha_{0},\alpha_{1})\), dose \(x > 0\) and specified reference dose \(x^{*}\). The prior \(p(\theta | \xi)\) is specified via a bivariate normal distribution on a transformation of \(\theta\) to ensure \(\alpha_{1} > 0\): \[\begin{equation}
\label{eq:bivariateNormal}
(\alpha_{0}, \log(\alpha_{1})) | \xi \sim \mathcal{N}_{2} (\mu, \Sigma)
\end{equation}\] with hyperparameters \(\xi = (\mu, \Sigma)\) consisting of the prior mean vector \(\mu\) and the prior covariance matrix \(\Sigma\).
Decision making for the next dose Another core element of a dose escalation design concerns the decision making for the next dose \(x_{N+1}\) to be tested in the next cohort \(N+1\). In the (Thall 2010) notation, the function \(\alpha\) is mapping the currently accumulated data \(\mathcal{D}_{N}\) to the dose space \(\mathcal{X}\) (or to dose \(0\), meaning to stop the trial because all doses are too toxic): \[\begin{equation} \alpha: {\cal D}_{N} \rightarrow \mathcal{X} \cup \{0\} \end{equation}\] This mapping is commonly specified via the combination of two elements: The first element is a function \(\tau\) for the maximum increments between dose levels, which can calculate from the current data \(\mathcal{D}_{N}\) (including the current dose \(x_{N}\)) the maximum possible next dose \(t_{N+1}=\tau(\mathcal{D}_{N})\) for the next cohort. The second element is a rule \(\nu\) indirectly acting on the current data through the posterior distribution \(p(\theta | \mathcal{D}_{N})\) and the maximum possible dose \(t_{N+1}\) to finally give the next dose \(x_{N+1} = \nu(p(\theta | \mathcal{D}_{N}), t_{N+1})\).
In crmPack maximum increments are specified by subclasses of Increments, and the next best dose rule by subclasses of NextBest.
The design class Additional features of a design concern the adaptive sizing of the next cohort and the adaptive stopping of the trial. Those are implemented in subclasses of CohortSize and Stopping, respectively. Moreover, the starting dose \(x_{1}\) is also a feature of the design.
Finally, the overall dose escalation design is bundling all the described features together in a dedicated class typically inheriting from Design.
As noted in (Thall 2010), the operating characteristics of such a complex dose escalation design can only be evaluated by simulations. This can be done using the simulate methods for the design classes, and is recommended to be performed for a multitude of different scenarios in order to stress-test the design and to convince oneself of its properties.
In particular, the operating characteristics reveal whether the MTD can be estimated well by the designs.
In addition, the examine method evaluates hypothetical trial outcomes and lists the resulting trial decisions (dose for the next cohort and trial end).
In order to illustrate the use of this object-oriented framework, the next section contains practical examples on use of the existing functionality as well as an example for creating new extensions.
Using crmPack
We consider a trial in Type II diabetes carried out by Hoffmann-La Roche Ltd. in order to illustrate the functionality in the package. For each patient, we observed a binary safety (DLT) and a continuous efficacy outcome. In Implementing a CRM trial we will show how to implement a CRM design for dose escalation based on the safety endpoint only, while in Dose escalation with safety and efficacy also the efficacy endpoint will be considered. Extending crmPack functionality gives an example on extending the crmPack functionality.
Before we start, we have to install and subsequently load our package in R:
library("crmPack")As indicated in the startup message, try
crmPackHelp()andcrmPackExample()to open the help page and the package vignette.
Implementing a CRM trial
Suppose that 12 dose levels ranging from 25 to 300 mg in 25 mg increments of a novel agent are available in addition to placebo, defining our dose grid \(\mathcal{X} = \{0.001,25, 50,\dotsc, 300\}\), with \(x_{1} = 0.001\) mg representing placebo and \(x_{2} = 25\) being our starting dose. Note that here we used a very small dose instead of zero for \(x_{1}\), since we consider here the regression model @eqref(eq:LogisticLogNormal) with a log transformation of the dose \(x\) (with \(x^{*} = 100\) chosen as reference dose).
Minimally informative prior Here we assume that limited prior information is available on the dose-toxicity relationship, and hence would like to use a minimally informative prior (Neuenschwander, Branson, and Gsponer 2008) which can be easily obtained with the function MinimalInformative. Since stochastic optimization is used internally, setting of a seed is required for reproducibility. Furthermore, it is recommended to specify a coarse dose grid across the original dose range (excluding the placebo dose) to avoid long computation time:
coarseGrid <- c(25, 50, 100, 200, 300)
model <- MinimalInformative(
dosegrid = coarseGrid, refDose = 100,
logNormal = TRUE, threshmin = 0.1,
threshmax = 0.2, seed = 432,
control = list(max.time = 30)
)$modelThe resulting model (which is an object of class LogisticLogNormal) has prior parameters
\[\mu = (0.0720313, 2)\]
and
\[\Sigma=
\left(\begin{smallmatrix}
1.51 & 0.18 \\
0.18 & 0.21
\end{smallmatrix}\right)\] and will approximately have 5% probability each for the DLT rate to exceed 10% (threshmin argument) at the 25 mg dose and to be below 20% (threshmax) at the 300 mg dose.
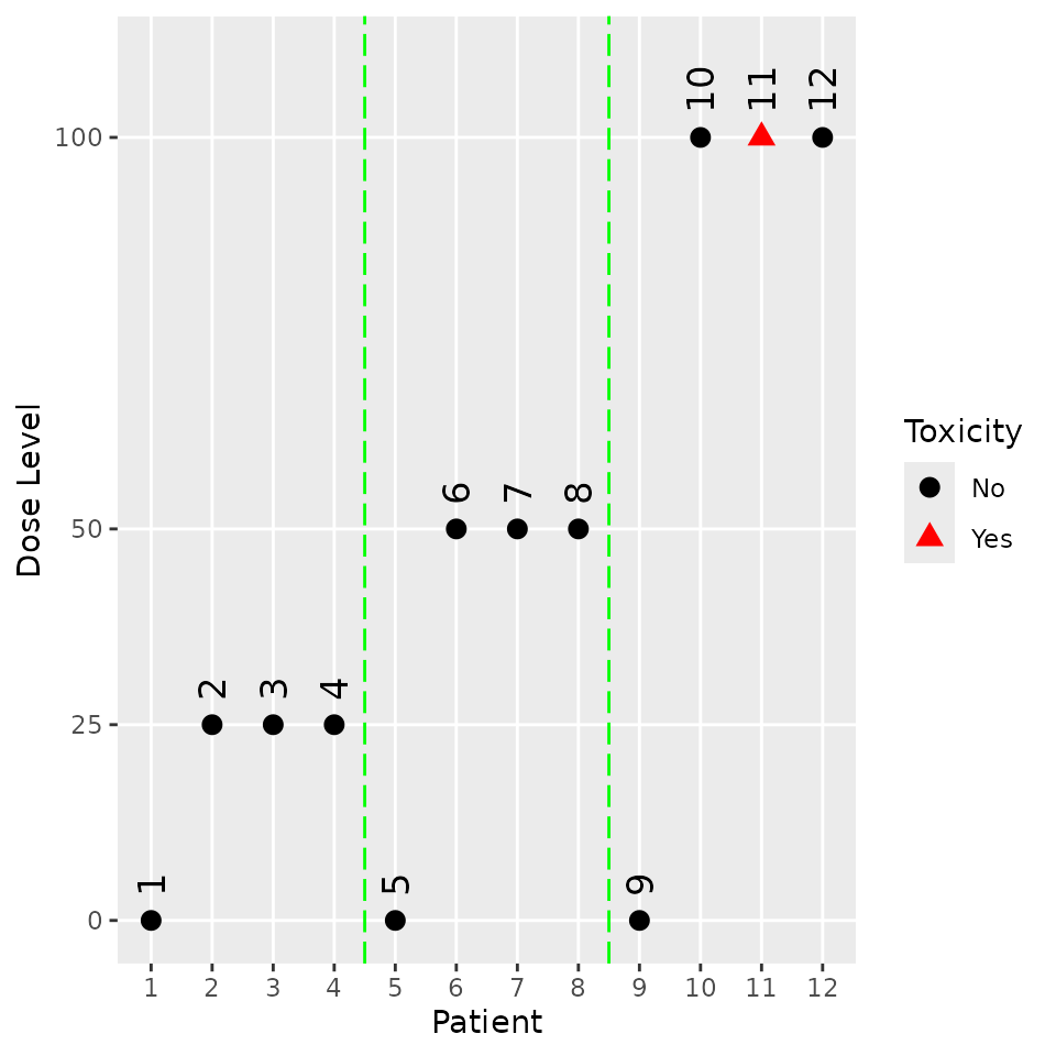
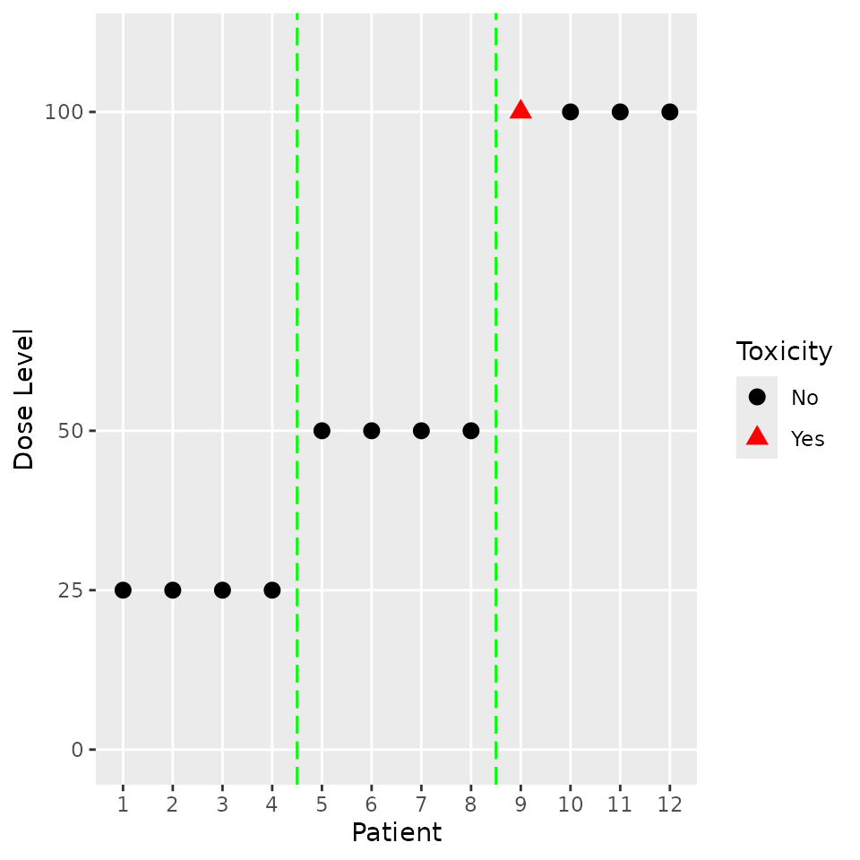
Data object definition and visualization In this simple case of a univariate dose \(x\) resulting in binary DLT observations \(y\), the S4 class Data can be used. Objects of this class can be created by calling the accompanying initialization function of the same name (which is a general convention in crmPack):
PL <- 0.001
data <- Data(
x = c(PL, 25, 25, 25, PL, 50, 50, 50, PL, 100, 100, 100),
y = c(0, 0, 0, 0, 0, 0, 0, 0, 0, 0, 1, 0),
cohort = c(1, 1, 1, 1, 2, 2, 2, 2, 3, 3, 3, 3),
doseGrid = c(PL, seq(25, 300, 25)),
ID = 1:12,
placebo = TRUE
)The argument x takes the doses \(x_{1}=0.001, x_{2}=25, x_{3} = 50, x_{4} = 100\) (note the repetition to match the outcome variables \(y_{j,k}\)) where doseGrid captures the set \({\cal X}\) of all possible doses, y takes the binary DLTs (here \(y_{3, 3} = 1\) denotes the only DLT having been observed in the 3rd patient in the 3rd cohort), while cohort groups the patients together in cohorts (here \(N=3\)). The option placebo is used to specify that this is a placebo controlled study, with placebo patients included in each cohort. The lowest dose \(x_{1}\) is then interpreted internally as the placebo dose. Patient IDs can be given optionally in the ID argument. The data can then be visualized by simply applying the plot function to the object, which also allows to produce a blinded plot (hiding patient IDs and placebo/treatment assignment) with the option blind, see Figure @ref(fig:plot-data):
plot(data)
plot(data, blind = TRUE)
Sampling from the prior and posterior Now that we have the model and the data in place, we can use MCMC sampling for obtaining the posterior distribution of the model parameters \(\theta\), and hence the DLT rates \(Prob(Y=1 | x,\theta)\), at various doses \(x\). The MCMC sampling can be controlled with an object of class McmcOptions, which is then provided to the mcmc function, together with the data and the model objects:
options <- McmcOptions(burnin = 1000, step = 2, samples = 10000)
set.seed(94)
samples <- mcmc(data, model, options)The posterior mean curve and 95% equi-tailed credible interval curves for the DLT rates can be obtained by supplying the samples, model and data to the generic plot function. Similarly we can also produce a similar plot without any data, which is then giving the prior, see Figure @ref(fig:plot-model-fit):
plot(samples, model, data) + ggtitle("Posterior")
emptydata <- Data(doseGrid = data@doseGrid, placebo = TRUE)
priorsamples <- mcmc(emptydata, model, options)
plot(priorsamples, model, emptydata) + ggtitle("Prior")

As illustrated here, the plots can be customized by using the ggplot2(Wickham 2009) functionality. We can see that while the posterior mean estimate (left panel, continuous line) is only slightly steeper than the prior mean estimate curve (right panel, continuous line), the posterior uncertainty is reduced due to the data (smaller credible intervals, dashed lines).
Decision making for the next dose To determine which dose to administer to the next (cohort of) patients we begin by specifying the maximum increments function \(\tau\). In the example below a maximum increase of 100% for doses below 100 mg, 50% for doses in the range from 100 mg to 200 mg, and 33% for doses equal or above 200 mg is specified using the class IncrementsRelative:
myIncrements <- IncrementsRelative(
intervals = c(0, 100, 200),
increments = c(1, 0.5, 0.33)
)This specific rule \(\tau\) can then be evaluated on the current dataset \({\cal D}_{N}\) by the maxDose function to obtain the maximum next dose \(t_{N+1} = \tau({\cal D}_{N})\):
(nextMaxDose <- maxDose(myIncrements, data))
#> [1] 150We then define the function \(\nu\) for selecting a dose for the next cohort. In this case we would like to select the dose which maximizes the probability of the DLT rate being in the target toxicity range from 20% to 35%, but with the probability of overdosing not exceeding 25% (Neuenschwander, Branson, and Gsponer 2008), using the NextBestNCRM class:
myNextBest <- NextBestNCRM(
target = c(0.2, 0.35), overdose = c(0.35, 1),
max_overdose_prob = 0.25
)This rule can then be evaluated with the function NextBest to obtain the next dose \(x_{N+1}=\nu({\cal D}_{N}, t_{N+1})\):
nextDoseRes <- nextBest(myNextBest, nextMaxDose, samples, model, data)
(nextDoseVal <- nextDoseRes$value)
#> [1] 100The returned list also contains an accompanying plot (nextDoseRes$plot), see Figure @ref(fig:nextBest-ncrm).

Adaptive stopping of the trial We would like to stop the dose escalation adaptively if the maximum sample size of \(n=30\) patients has been reached already, or if we have sufficient precision for the MTD estimate. We can specify the latter condition as follows: The probability that the next dose \(x_{N+1}\) is in the target toxicity range is above 50%, and at least 9 patients were already dosed within +/- 20% range of \(x_{N+1}\). The corresponding Stopping class object is constructed by combining the atomic rules with logical operators as follows:
myStopping1 <- StoppingMinPatients(nPatients = 30)
myStopping2 <- StoppingTargetProb(target = c(0.2, 0.35), prob = 0.5)
myStopping3 <- StoppingPatientsNearDose(nPatients = 9, percentage = 20)
myStopping <- myStopping1 | (myStopping2 & myStopping3)Again, this specific rule can be evaluated by a function, here called stopTrial, for a specific situation:
stopTrial(myStopping, nextDoseVal, samples, model, data)
#> [1] FALSE
#> attr(,"message")
#> attr(,"message")[[1]]
#> [1] "Number of patients is 12 and thus below the prespecified minimum number 30"
#>
#> attr(,"message")[[2]]
#> attr(,"message")[[2]][[1]]
#> [1] "Probability for target toxicity is 32 % for dose 100 and thus below the required 50 %"
#>
#> attr(,"message")[[2]][[2]]
#> [1] "3 patients lie within 20% of the next best dose 100. This is below the required 9 patients"
#>
#>
#> attr(,"individual")
#> attr(,"individual")[[1]]
#> [1] FALSE
#> attr(,"message")
#> [1] "Number of patients is 12 and thus below the prespecified minimum number 30"
#> attr(,"report_label")
#> [1] "≥ 30 patients dosed"
#>
#> attr(,"individual")[[2]]
#> [1] FALSE
#> attr(,"message")
#> attr(,"message")[[1]]
#> [1] "Probability for target toxicity is 32 % for dose 100 and thus below the required 50 %"
#>
#> attr(,"message")[[2]]
#> [1] "3 patients lie within 20% of the next best dose 100. This is below the required 9 patients"
#>
#> attr(,"individual")
#> attr(,"individual")[[1]]
#> [1] FALSE
#> attr(,"message")
#> [1] "Probability for target toxicity is 32 % for dose 100 and thus below the required 50 %"
#> attr(,"report_label")
#> [1] "P(0.2 ≤ prob(DLE | NBD) ≤ 0.35) ≥ 0.5"
#>
#> attr(,"individual")[[2]]
#> [1] FALSE
#> attr(,"message")
#> [1] "3 patients lie within 20% of the next best dose 100. This is below the required 9 patients"
#> attr(,"report_label")
#> [1] "≥ 9 patients dosed in 20 % dose range around NBD"
#>
#> attr(,"report_label")
#> [1] NA
#>
#> attr(,"report_label")
#> [1] NAThe result FALSE means that we cannot yet stop the trial, with the attribute message giving the results from the atomic stopping rules.
Examine the dose escalation design In the last topic of this section, we want to show how to assess the performance of a given CRM design. We first need to specify our design by creating an object of class Design. It contains our model, our rules for dose escalation (Increments, NextBest, Stopping and CohortSize), the dose grid (in the example below through the object emptydata) and our starting dose (see also Figure @ref(fig:schematic). In this case we will use a fixed cohort size of 3 patients on active and 1 patient on placebo (``3+1’’) throughout the study:
mySize <- CohortSizeConst(3)
mySizePL <- CohortSizeConst(1)
design <- Design(
model = model, nextBest = myNextBest,
stopping = myStopping, increments = myIncrements,
cohort_size = mySize, pl_cohort_size = mySizePL,
data = emptydata, startingDose = 25
)We can then start by looking at the single trial operating characteristics of the dose escalation design with the function examine, which generates a data frame showing the beginning of several hypothetical trial courses under the design. Assuming no DLTs have been seen until a certain dose, then the consequences of different number of DLTs being observed at this dose are shown. For example, if we observe 3 DLTs at the starting dose of 25 mg, we would need to stop the trial, while we would enroll another cohort at the same dose level in case of 2 DLTs. In the last rows of the output we see that if no DLTs were observed before the 250 mg cohort, the maximum considered dose of 300 mg dose can be reached in the next cohort if also no DLTs are observed at 250 mg. If 1, 2 or 3 DLTs are observed, the next dose is recommended as 225, 175 and 150 mg, respectively.
set.seed(23)
examine(design, mcmcOptions = options)
#> dose DLTs nextDose stop increment
#> 1 25 0 50 FALSE 100
#> 2 25 1 50 FALSE 100
#> 3 25 2 25 FALSE 0
#> 4 25 3 NA FALSE NA
#> 5 50 0 100 FALSE 100
#> 6 50 1 75 FALSE 50
#> 7 50 2 50 FALSE 0
#> 8 50 3 25 FALSE -50
#> 9 100 0 125 FALSE 25
#> 10 100 1 100 FALSE 0
#> 11 100 2 75 FALSE -25
#> 12 100 3 50 FALSE -50
#> 13 125 0 175 FALSE 40
#> 14 125 1 125 FALSE 0
#> 15 125 2 100 FALSE -20
#> 16 125 3 75 FALSE -40
#> 17 175 0 250 FALSE 43
#> 18 175 1 175 FALSE 0
#> 19 175 2 125 FALSE -29
#> 20 175 3 100 FALSE -43
#> 21 250 0 300 FALSE 20
#> 22 250 1 225 FALSE -10
#> 23 250 2 175 FALSE -30
#> 24 250 3 150 FALSE -40Simulating operating characteristics For the many trials operating characteristics, we first have to define true scenarios, from which the data should arise. In this case, this only requires a function that computes the probability of DLT given a dose. As an example we use here the function contained in the slot prob of the object model: %, for which the dose-toxicity curve is shown below.
myTruth <- probFunction(model, alpha0 = 4.5, alpha1 = 8)Note that any possible R-function returning a vector of probabilities upon input of the dose vector can be used. In particular, it is trivially possible to directly specify the probability of DLT for each dose in order to examine operating characteristics not based on any statistical model. For example, assume 5 doses 1–5 with probabilities of DLT of 0.01, 0.02, 0.04, 0.06, 0.09, then the following code could be used:
doseProbMatrix <- cbind(c(1, 2, 3, 4, 5), c(0.01, 0.02, 0.04, 0.06, 0.09))
myTruthMatrix <-
function(dose) {
doseProbMatrix[match(dose, doseProbMatrix[, 1]), 2]
}Now we can proceed to the simulations using the function simulate:
mySimsTime <-
system.time(mySims <- simulate(design,
truth = myTruth, nsim = 100,
seed = 819, mcmcOptions = options,
parallel = FALSE
))[3]The number of simulated trials depends on the required accuracy of the results. The argument parallel can be set to TRUE if one wishes to run the iterations in parallel on all processors of the computer, which can yield a meaningful speedup. Here we needed 201 seconds for 100 simulated trials on an Intel Core i5-6300U CPU with 2.4 GHz.
The result is an object of class Simulations containing multiple slots, with e.g., the data slot containing the list of simulated trials. The slots doses and stopReasons contain information about the final MTD and the stopping reason for each trial. We can e.g., investigate the number of patients and the MTD at the end of the third simulated trial:
mySims@data[[3]]@nObs
#> [1] 20
mySims@doses[3]
#> [1] 50Furthermore, we can plot the Simulations object by calling the plot method on it, see Figure @ref(fig:sim-plot). You can select the plots by changing the type argument of plot, which by default is type = c("trajectory", "dosesTried").

Second, we can summarize the simulation results, and obtain a textual description of the results:
simSum <- summary(mySims, truth = myTruth)
simSum
#> Summary of 100 simulations
#>
#> Target toxicity interval was 20, 35 %
#> Target dose interval corresponding to this was 47.9, 52.7
#> Intervals are corresponding to 10 and 90 % quantiles
#>
#> Number of patients on placebo : mean 7 (6, 8)
#> Number of patients on active : mean 22 (18, 24)
#> Number of patients overall : mean 29 (24, 32)
#> Number of patients treated above target tox interval : mean 3 (3, 3)
#> Proportions of DLTs in the trials for patients on placebo : mean 0 % (0 %, 0 %)
#> Proportions of DLTs in the trials for patients on active : mean 28 % (21 %, 34 %)
#> Mean toxicity risks for the patients on active : mean 29 % (21 %, 34 %)
#> Doses selected as MTD : mean 47 (25, 50)
#> True toxicity at doses selected : mean 23 % (0 %, 26 %)
#> Proportion of trials selecting target MTD: 88 %
#> Dose most often selected as MTD: 50
#> Observed toxicity rate at dose most often selected: 25 %
#> Fitted toxicity rate at dose most often selected : mean 23 % (16 %, 29 %)
#> Stop reason triggered:
#> ≥ 30 patients dosed : 56 %
#> P(0.2 ≤ prob(DLE | NBD) ≤ 0.35) ≥ 0.5 : 51 %
#> ≥ 9 patients dosed in 20 % dose range around NBD : 99 %A plot of the summary results can also be produced, see Figure @ref(fig:sim-summary-plot).

Dose escalation with safety and efficacy
In this section, dose escalation designs incorporating both safety (as binary DLT) and efficacy endpoints (continuous response) will be introduced. Dual endpoint datasets are implemented with the DualData class, where here we illustrate the addition of the efficacy data w to the previous dataset:
data2 <- DataDual(
x = data@x, y = data@y, placebo = TRUE,
w = c(
0.02, 0.42, 0.59, 0.45, 0.03, 0.7, 0.6, 0.52,
0.01, 0.71, 0.54, 0.45
), cohort = data@cohort,
doseGrid = data@doseGrid, ID = data@ID
)The endpoints can be modelled jointly or separately. For joint modelling derived from (Bekele and Shen 2005), please see the package vignette and the DualEndpoint class. In the following section we will describe separate modelling, as proposed in (Yeung et al. 2015). We will show how the dual endpoint design can help to estimate an optimal dose level which represents the best trade-off between safety and efficacy.
Methodology Briefly introducing the methodology in current notation, assume that the dose grid \(\cal{X}\) contains \(k\) dose levels, and the logistic regression model @\(\eqref{eq:LogisticLogNormal}\) with \(x^{*}=1\) is used for the safety endpoint \(y\). For the continuous efficacy endpoint \(w\), a linear log-log model can be used, conditional on \(y=0\) (no DLT): \[\begin{equation}\label{eq:loglog} E(w(x)) = \gamma + \delta \log\{\log(x + c)\} \end{equation}\] such that \(w(x) \sim N(E(w(x)), \sigma^2)\) with \(c \geq 0\) as a constant. Usually the default value \(c=0\) can be used, but in our case we choose \(c=2\) to allow for the placebo dose \(x=0.001\) which is close to 0.
For both the safety and efficacy models, the prior will be expressed in form of imaginary pseudo data see (Yeung et al. 2015) for details. Prior and posterior modal estimates of the model parameters can then be obtained as the maximum likelihood estimates from the data set combining pseudo data with observed data (Whitehead 2006). The variance \(\sigma^{2}\) can be fixed or assigned an inverse gamma prior distribution.
Model classes The ModelPseudo class contains all model classes where the priors are specified in terms of pseudo data, with subclasses for safety (ModelTox) and efficacy (ModelEff).
Coming back to our example study, the pseudo data for the safety prior assumes that 3 subjects each are treated at the lowest (25 mg) and the highest (300 mg) dose level, with 1.05 and 1.8 DLTs being observed at these two dose levels, respectively. This corresponds to prior means of 0.35 and 0.6 for the DLT probabilities. We implement model @\(\eqref{eq:LogisticLogNormal}\) with this pseudo data prior as follows:
DLTmodel <- LogisticIndepBeta(
binDLE = c(1.05, 1.8), DLEweights = c(3, 3),
DLEdose = c(25, 300), data = emptydata
)The efficacy model can similarly be specified as
emptydata2 <- DataDual(doseGrid = emptydata@doseGrid, placebo = TRUE)
Effmodel <- Effloglog(
eff = c(1.223, 2.513), eff_dose = c(25, 300),
nu = c(a = 1, b = 0.025), data = emptydata2, c = 2
)Here the argument Eff takes the vector of pseudo efficacy responses at the two fixed dose levels, assuming one subject is treated at each of these dose levels. The argument nu specifies a Gamma prior distribution with shape 1 and rate 0.025 for the precision parameter of the pseudo efficacy responses.
Decision making for the next dose A gain function is used to quantify the trade-off between efficacy and safety, and the next dose should maximize the estimated gain modulo safety constraints. Here we will define the gain as the expected efficacy response, with the convention that a DLT will automatically lead to a zero efficacy response: \[\begin{equation}
\label{eq:gainfunction}
G(x)=Prob(Y=0 | x, \theta)E(w(x))
\end{equation}\] Note that the gain function depends on the safety parameter vector \(\theta\) and the efficacy parameters \(\gamma\) and \(\delta\), which will be estimated by their posterior modal estimates using the update method:
newDLTmodel <- update(object = DLTmodel, data = data2)
newEffmodel <- update(object = Effmodel, data = data2)With crmPack we can implement the next best dose recommendation based on maximizing the gain function as follows:
GainNextBest <- NextBestMaxGain(
prob_target_drt = 0.35,
prob_target_eot = 0.3
)where prob_target_drt specifies the maximum estimated DLT rate tolerated during the study and prob_target_eot the maximum estimated DLT rate tolerated at the end of the study. As in Implementing a CRM trial this rule \(\nu\) can be evaluated using NextBest to obtain \(x_{N+1}\), after evaluating the maximum increments rule \(\tau\) using maxDose to obtain \(t_{N+1}\):
(nextMaxDose <- maxDose(myIncrements, data2))
#> [1] 150
doseRecGain <- nextBest(GainNextBest,
doselimit = nextMaxDose,
model = newDLTmodel, model_eff = newEffmodel,
data = data2
)
(nextDoseVal <- doseRecGain$next_dose)
#> [1] 25The plot for the next dose allocation is contained in doseRecGain$plot and shown in Figure @ref(fig:doseRecommendation). \begin{figure}

Dose recommendation plot from dual endpoint design. The red, blue and green curves correspond to the (posterior modal) estimated curves for safety, efficacy and gain, respectively. The vertical red line in the plot shows the maximum possible dose \(t_{N+1} = 150\) mg and the vertical violet line shows the next dose \(x_{N+1} = 25\) mg. The circle, square and triangle symbols mark the estimated doses with target toxicity (100 mg for 35% DLT probability during the trial and 75 mg for 30% DLT probability at the end of trial) and the estimated dose with maximum gain, 25 mg. The numbers can be obtained from the doseRecGain list.
Stopping rules In addition to the simple stopping rule based on the maximum number of patients in our trial, we can use another one relating to the precision of the dose with optimum gain:
myStopping4 <- StoppingMaxGainCIRatio(
target_ratio = 5,
prob_target = GainNextBest@prob_target_eot
)
myStoppingDual <- myStopping1 | myStopping4This stops the trial when 30 patients are reached, or when the ratio of the upper and lower confidence interval bounds around the dose recommendation is less than 5.
Simulations To simulate the operating characteristics, first a design has to be built:
design2 <- DualResponsesDesign(
nextBest = GainNextBest, model = DLTmodel,
eff_model = Effmodel, data = emptydata2,
stopping = myStoppingDual,
increments = myIncrements,
cohort_size = mySize, startingDose = 25
)Note that an additional slot for the efficacy model is included in this design class. We can then specify the scenario for the simulation, by defining the true DLT and efficacy curves that we will be using:
myTruthDLT <- probFunction(DLTmodel, phi1 = -53, phi2 = 10)
myTruthEff <- efficacyFunction(Effmodel, theta1 = -4.8, theta2 = 3.7)
myTruthGain <- function(dose) {
myTruthEff(dose) * (1 - myTruthDLT(dose))
}Please note that the parameter names phi1, phi2, theta1 and theta2 correspond to \(\alpha_0, \alpha_1, \gamma\) and \(\delta\), respectively. Simulations are again produced by the simulate function:
Sim1 <- simulate(
object = design2, args = NULL, trueDLE = myTruthDLT,
trueEff = myTruthEff, trueNu = 1 / 0.025, nsim = 20,
seed = 819, parallel = FALSE
)Note that the fixed precision nu \(1/\sigma^{2}\) is specified instead of the variance \(\sigma^{2}\). % The results of the simulation can then be plotted and summarized as shown before.
Extending crmPack functionality
One of the big advantages of crmPack over existing R implementations is its flexible framework based on the S4 classes and methods system (Chambers 2008) and JAGS (Plummer 2003) for Bayesian computations. Here we will therefore illustrate how users can extend the existing functionality easily to the specific needs of the study.
Objective The example will implement a version of the one-parameter CRM (O’Quigley, Pepe, and Fisher 1990), which is currently not (yet) included in the package. It is based on a one-parameter power model to describe the relationship between the binary DLT responses \(Y\) and their corresponding dose levels \(x\): \[\begin{equation} \label{eq:oneparameter} \pi(x, \theta) = Prob(Y=1 | x, \theta) = f(x)^{\theta} \end{equation}\] Here \(0 < f(x) < 1\) is monotonically increasing in \(x\) and is specified by the investigator upfront. The sequence \(f(x_{1}), \dotsc, f(x_{k})\) along the dose grid is often called ``skeleton’’ of the CRM. An exponential distribution with parameter \(\lambda\) is imposed as the prior distribution for the unknown parameter \(\theta\). The next dose should then be chosen such that the distance of the posterior mean estimated DLT probability to a predefined target toxicity level is minimized.
Creating a new model To implement the one-parameter model @\(\eqref{eq:oneparameter}\) in crmPack we first need to define an appropriate S4 class inheriting from the general model class GeneralModel:
.OneParExp <- setClass(
Class = "OneParExp",
contains = "GeneralModel",
slots = c(
skeleton_probs = "numeric",
dose_grid = "numeric",
lambda = "numeric"
)
)Here we specify that the new class is called OneParExp and contains three additional slots containing the resulting skeleton prior probabilities, the dose grid, and the prior parameter \(\lambda\).
Second we have to create a convenient initialization function, which specifies the likelihood and prior distributions in the underlying GeneralModel in JAGS. We choose to let the user supply just the skeleton probabilities along with the intended dose grid to use. The likelihood with the power model is specified in datamodel and uses the Data slots which are specified in datanames. The prior is defined in priormodel. Model parameters are passed to JAGS via modelspecs. The init slot contains a function giving the starting values for the MCMC sampler, and sample defines which parameter samples will be returned:
OneParExp <- function(skeleton_probs, dose_grid, lambda) {
.OneParExp(
skeleton_probs = skeleton_probs,
dose_grid = dose_grid,
lambda = lambda,
datamodel = function() {
for (i in 1:nObs) {
y[i] ~ dbern(p[i])
p[i] <- skeleton_probs[xLevel[i]]^theta
}
},
priormodel = function() {
theta ~ dexp(lambda)
},
modelspecs = function() {
list(skeleton_probs = skeleton_probs, lambda = lambda)
},
init = function() {
list(theta = 1)
}, sample = "theta",
datanames = c("nObs", "y", "xLevel")
)
}Finally, we will create the dose and prob methods. The prob method is based on the (a skeleton) function which does the interpolation between the dose grid points in order to obtain the probability of a DLT. The dose, on the other hand, uses an inverse of (the skeleton) function \[\begin{equation}
\label{eq:oneparameterInverse}
\pi^{-1}(p, \theta) = f^{-1}(p^{1/\theta})
\end{equation}\] which maps the probability \(p\) to a dose \(x\).
setMethod(
f = "dose",
signature = signature(
x = "numeric",
model = "OneParExp",
samples = "Samples"
),
definition = function(x, model, samples) {
theta <- samples@data$theta
invSkeletonFun <- approxfun(x = model@skeleton_probs, y = model@dose_grid, rule = 1)
invSkeletonFun(x^(1 / theta))
}
)
setMethod(
f = "prob",
signature = signature(
dose = "numeric",
model = "OneParExp",
samples = "Samples"
),
definition = function(dose, model, samples) {
theta <- samples@data$theta
skeletonFun <- approxfun(x = model@dose_grid, y = model@skeleton_probs, rule = 2)
skeletonFun(dose)^theta
}
)Now we can already use the model, for example in the following we specify the skeleton probabilities via the dose grid and use a standard exponential prior for \(\theta\). The resulting posterior fit can be plotted as usual, see Figure @ref(fig:OneParExp-model-example).
(skeleton_probs <- round(data@doseGrid / max(data@doseGrid) / 2, 2))
#> [1] 0.00 0.04 0.08 0.12 0.17 0.21 0.25 0.29 0.33 0.38 0.42 0.46 0.50
newModel <- OneParExp(
skeleton_probs = skeleton_probs,
dose_grid = data@doseGrid,
lambda = 1
)
newSamples <- mcmc(data, newModel, options)
plot(newSamples, newModel, data)
Creating a new dose recommendation rule In a second step we would like to create a new dose recommendation rule, which proposes the dose with estimated DLT probability closest to the target. Again we start with the class, now inheriting from NextBest:
.NextBestMinDist <- setClass(
Class = "NextBestMinDist",
contains = "NextBest",
representation(target = "numeric")
)
NextBestMinDist <- function(target) {
.NextBestMinDist(target = target)
}Note that here we keep to the convention of separate class definition and initialization function, although there is no technical need in this case. In order to make it usable we need to define the NextBest method for this new rule. Note that we do only specialize the method for the first argument, such that this rule could also be used with other models.
setMethod(
"nextBest",
signature = signature(
nextBest = "NextBestMinDist",
doselimit = "numeric",
samples = "Samples",
model = "OneParExp",
data = "Data"
),
def = function(nextBest, doselimit, samples, model, data, ...) {
dosesOK <-
if (length(doselimit)) {
which(data@doseGrid <= doselimit)
} else {
seq_along(data@doseGrid)
}
modelfit <- fit(samples, model, data)
probDLT <- modelfit$middle[dosesOK]
doses <- modelfit$dose[dosesOK]
bestIndex <- which.min(abs(probDLT - nextBest@target))
bestDose <- doses[bestIndex]
list(value = bestDose)
}
)In the method definition, we can use the fit function in order to obtain the estimated DLT rates. We need to return a list from this method, since this is required by the generic function definition. The advantage is that we could also include a plot or other supporting information in the return value. Immediately we can now use this rule in order to obtain the next dose recommendation, e.g., after specifying a target dose of 30%:
newMyNextBest <- NextBestMinDist(target = 0.3)
newNextDoseVal <- nextBest(newMyNextBest, nextMaxDose, newSamples, newModel, data)$value
newNextDoseVal
#> [1] 150So using this CRM, we could escalate to 150 mg, instead of just 100 mg above.
Using the new functionality These were the only necessary additions of code that we needed to implement the one-parameter CRM with a greedy next best dose rule - from now on we can use the new classes in the same way as classes already contained in crmPack! For example, we can create a corresponding new Design object, examine its hypothetical trial course and run simulations. In particular, the placebo convention automatically carries over.
Summary
In this paper we have introduced the R package crmPack for analyzing and evaluating dose escalation trials. Unlike existing software the package is written to make full use of a class structure enabling easy extensions to user-specific dose-response models, prior distributions, escalation and stopping rules. The example in Extending crmPack functionality demonstrated that:
- New functionality can be added - without changing the package.
- Only the new functionality needs to be coded in one place - no side effects need to be considered.
- Templates for new designs can be found by looking at the existing code in the package - only minimal
S4andJAGSknowledge is required.
Therefore, crmPack allows the user to easily extend the package by keeping modifications local and limited to what needs to be changed, which in our experience has been a key success factor for the wider use of model-based dose escalation designs. The package does, however, already include a wide range of model-based and algorithmic dose escalation procedures, which are described in the package’s documentation available through crmPackHelp() and provide end-users easy access to these approaches without the need for further coding. Another unique feature of the package is the inclusion of approaches that allow placebo data, which are routinely collected in healthy volunteer studies, to be utilized. Finally some methods [e.g.,](Bekele and Shen 2005)(Yeung et al. 2015) for dose-finding incorporating safety and efficacy are implemented already in the package. As for all designs, the underlying structure to extend to novel dual endpoint methods is provided. Simulation facilities for all approaches and relevant graphical displays are also available.
The package is actively developed further and new methods will be added. Future extensions of crmPack will include model-based combination dose escalation designs, see for example (M. J. Sweeting and Mander 2012) and [Riviere et al. (2014) for recent reviews. Furthermore, data-augmentation CRM designs [see](Liu and Ning 2013) that allow for a decoupling of inter-cohort waiting times and DLT time windows, hence speeding up dose escalation trials, will be included.
Acknowledgments
We would like to thank Francesca Michielin and Peter Dutton for their valuable comments on an earlier draft of the manuscript. This report is funded by the Roche Postdoctoral Fellowship programme (RPF-234) and research arising from Prof Jaki’s Senior Research Fellowship (NIHR-SRF-2015-08-001) supported by the National Institute for Health Research. The views expressed in this publication are those of the authors and not necessarily those of the NHS, the National Institute for Health Research or the Department of Health. This manuscript was prepared using knitr (Xie 2018).